搜索
题目内容
已知点
M
的球坐标为(2,
,
),则它的直角坐标为_______.
试题答案
相关练习册答案
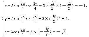
解析:设
M
的直角坐标为(
x
,
y
,
z
),则?
∴点
M
的直角坐标为(-1,1,-
).
答案:(-1,1,-
).
练习册系列答案
寒假新天地寒假作业系列答案
寒假学程每天一练系列答案
寒假学习生活系列答案
寒假学习园地河南人民出版社系列答案
寒假学与练系列答案
德华书业寒假训练营学年总复习安徽文艺出版社系列答案
阳光假日寒假系列答案
蓝天教育寒假优化学习系列答案
寒假专题集训系列答案
步步高寒假专题突破练黑龙江出版社系列答案
相关题目
已知点
M
的球坐标为(2,
,
),则它的直角坐标为_______.
已知点M的球坐标为(2,
,
),则它的直角坐标为_________.
关 闭
试题分类
高中
数学
英语
物理
化学
生物
地理
初中
数学
英语
物理
化学
生物
地理
小学
数学
英语
其他
阅读理解答案
已回答习题
未回答习题
题目汇总
试卷汇总
练习册解析答案