搜索
题目内容
已知点
M
的球坐标为(2,
,
),则它的直角坐标为_______.
试题答案
相关练习册答案
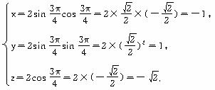
解析:设
M
的直角坐标为(
x
,
y
,
z
),则?
∴点
M
的直角坐标为(-1,1,-
).
答案:(-1,1,-
).
练习册系列答案
学与练系统归类总复习系列答案
教与学智能教材学案系列答案
BEST学习丛书长沙中考数理化冲A特训系列答案
新疆中考模拟试卷系列答案
备战中考8加2系列答案
超能学典江苏13大市名牌小学毕业升学真卷精编系列答案
68所名校图书小升初押题卷名校密题系列答案
学与练小考宝典毕业模拟卷系列答案
三年中考真题荟萃试题调研两年模拟试题精选系列答案
3年中考试卷汇编中考考什么系列答案
相关题目
已知点M的球坐标为(2,
,
),则它的直角坐标为_________.
已知点
M
的球坐标为(2,
,
),则它的直角坐标为_______.
关 闭
试题分类
高中
数学
英语
物理
化学
生物
地理
初中
数学
英语
物理
化学
生物
地理
小学
数学
英语
其他
阅读理解答案
已回答习题
未回答习题
题目汇总
试卷汇总
练习册解析答案