题目内容
已知函数
.
(Ⅰ)讨论函数
在定义域内的极值点的个数;
(Ⅱ)若函数
在
处取得极值,对
,
恒成立,求实数
的取值范围;
(Ⅲ)当
且
时,试比较
的大小.
(Ⅰ)讨论函数
(Ⅱ)若函数
(Ⅲ)当
解:(Ⅰ)
,
当
时,
在
上恒成立,函数
在
单调递减,
∴
在
上没有极值点;
当
时,
得
,
得
,
∴
在
上递减,在
上递增,即
在
处有极小值.
∴当
时
在
上没有极值点,
当
时,
在
上有一个极值点.
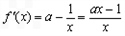
(Ⅱ)∵函数
在
处取得极值,
∴
,
∴
,
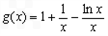
令
,可得
在
上递减,在
上递增,
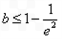
∴
,即
.
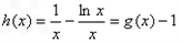
(Ⅲ)解:令
,
由(Ⅱ)可知
在
上单调递减,则
在
上单调递减
∴当
时,
>
,即
.
当
时,![]()
∴
,
当
时,![]()
∴
练习册系列答案
相关题目