人体缺碘会影响正常的生命活动,为提高人体素质,食物补碘已引起人们的重视.人从食物中摄取碘后碘便在甲状腺中积存,在甲状腺内,通过有关化学反应可形成甲状腺素,甲状腺素的合成过程可表示为
请填写下列空白:
(1)
甲状腺素的化学式为________.
(2)
中间产物(Ⅰ)的结构简式为________.
(3)
产物(Ⅱ)的名称为________.
(4)
甲状腺素在物质分类上从不同角度考虑可以属于________.
A.
酚
B.
氨基酸
C.
卤代烃
D.
芳香烃
有机物A的分子式为C3H7O2N,有机物B的分子式为C3H9O2N,这两种有机物分子中都有一个与碳原子连接的甲基,它们都能与NaOH溶液反应,也能与盐酸反应.
(1)有机物A、B的结构式为:
A________,B________.
(2)A、B分别与NaOH反应的化学方程式为:
________________________,________________________.
分子式为C7H7NO2的有机物A、B、C、D、E、F六种分子中均含有苯环.
(1)A、B、C三种有机物既能溶于强酸又能溶于强碱,写出A、B、C的结构简式:A为________;B为________;C为________.
(2)D、E、F既不溶于强酸又不溶于强碱,写出D、E、F的结构简式:D为________;E为________;F为________.
某学生称取9 g直链淀粉溶于水,测定淀粉水解的百分率,其程序如下:
淀粉溶液混合液混合液
(1)各步所加试剂为:A________,B________,C________.
(2)只加A溶液,不加B溶液是否可以?理由是________.
(3)当析出2.16 g金属单质时,淀粉水解率是________.
以乙烯为初始反应物可制得正丁醇CH3CH2CH2CH2OH.
已知两个醛分子在一定条件下可以自身加成,下式中反应物的中间产物(Ⅲ)可看成是由(Ⅰ)中的碳氧双键打开,分别跟(Ⅱ)中的2-位碳原子与2-位氢原子相连而得.(Ⅲ)是一种3-羟基醛,此醛不稳定,受热即脱水而生成不饱和醛(烯醛).
请运用学过的知识和上述给出的信息写出由乙烯制正丁醇各步反应的化学方程式(不必写出反应条件)________________________.
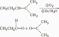
烯烃通过臭氧氧化并经锌和水处理得到醛或酮,例如:
上述反应可用来推断烯烃的结构.一种链状单烯烃A通过臭氧氧化并经锌和水处理得到B和C.化合物B含碳69.8%,含氢11.6%,B无银镜反应,催化加氢生成D.D在浓硫酸存在下加热,可得到能使溴水褪色且只有一种结构的物质E.反应图示如下:
回答下列问题:
(1)B的相对分子质量是________;C→F的反应类型为________;D中含有官能团的名称________.
(2)D+F→G的化学方程式是:________.
(3)A的结构简式为________________.
(4)化合物A的某种同分异构体通过臭氧氧化并经锌和水处理只得到一种产物,符合该条件的异构体的结构简式有________种.
下列是A、B、C、D、E、F、G、H及丙二酸(HOOCCH2COOH)间转化的关系图.A是一种链状羧酸,分子式为C3H4O2;F中含有由七个原子构成的环;H是一种高分子化合物.请填写下列空白:
(1)C的结构简式:________;F的结构简式:________.
(2)写出下列反应的化学方程式和反应类型:
①A→H的化学方程式:________________.
②B与NaOH水溶液反应的化学方程式:________,反应类型为________.
有机物A和B的相对分子质量都小于200,完全燃烧时只生成CO2和H2O.B燃烧时消耗的氧气与生成的二氧化碳的量相等.B中碳、氢元素总的质量分数为46.67%.B不发生银镜反应,但跟NaHCO3溶液反应放出CO2.1 mol A水解生成1 mol苯甲酸和1 mol B.A溶液具有酸性,但遇FeCl3溶液不显色.
(1)A与B相对分子质量之差为________.
(2)B分子中应有________个氧原子.
(3)A的结构简式为________.
(4)写出B属于酯的四种同分异构体的结构简式________、________、________、________.
有机玻璃是一种重要的塑料,有机玻璃的单体A(C5H8O2),不溶于水,并可以发生以下变化:
请回答:
(1)B分子中含有的官能团是________,________.
(2)由C转化为D的反应属于(选填序号)________.
①氧化反应 ②还原反应 ③加成反应 ④取代反应
(3)C的一氯代物D有两种,C的结构简式是________________.
(4)由A生成B的化学方程式是________.
(5)有机玻璃的结构简式是________.
(6)与A含有相同的官能团的同分异构体某酸甲酯是________.
有机化学反应因条件不同,可以生成不同的有机产品.
已知氢化阿托醛是一种香料,它的结构简式如下:
(1)A的结构简式可能为________.
(2)工业生产过程中,中间产物A必须过②③④得到D,而不采取直接转化为D的方法,原因是________________.
(3)②的反应类型为________,④的反应类型为________.
(4)反应③的化学方程式为________________.
(5)C9H10O有多种同分异构体,其中某种物质具有下列性质:①能与溴水反应产生沉淀;②能与钠反应放出氢气;③分子中有苯环,苯环上一溴代物有两种.该物质可能的结构简式为(只写一种)________.