题目内容
下列是A、B、C、D、E、F、G、H及丙二酸(HOOCCH2COOH)间转化的关系图.A是一种链状羧酸,分子式为C3H4O2;F中含有由七个原子构成的环;H是一种高分子化合物.请填写下列空白:
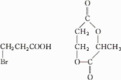
(1)C的结构简式:________;F的结构简式:________.
(2)写出下列反应的化学方程式和反应类型:
①A→H的化学方程式:________________.
②B与NaOH水溶液反应的化学方程式:________,反应类型为________.
答案:
解析:
解析:
|
(1) (2) |
练习册系列答案
相关题目
下列是A、B、C、D、E五中元素的某些性质:
(1)元素A是形成有机物的主要元素,下列分子中含有sp和sp3 杂化方式的是
A.
B.CH4 C.CH2=CHCH3D.CH3CH2C≡CH E.CH3CH3
(2)用氢键表示式写出E的氢化物水溶液中存在的所有氢键 .
(3)相同条件下,AD2与BD2分子两者在水中的溶解度较大的是 (写分子式),理由是 ;
(4)如图表示某种元素D与锌形成的化合物晶胞,其中Zn和D通过共价键结合,该化合物的化学式为 ;该化合物的晶体熔点比干冰高得多,原因是 .
| A | B | C | D | E | |
| 化合价 | -4 | -2 | -1 | -2 | -1 |
| 电负性 | 2.55 | 2.58 | 3.16 | 3.44 | 3.98 |
A.
(2)用氢键表示式写出E的氢化物水溶液中存在的所有氢键
(3)相同条件下,AD2与BD2分子两者在水中的溶解度较大的是
(4)如图表示某种元素D与锌形成的化合物晶胞,其中Zn和D通过共价键结合,该化合物的化学式为