|
膦又称磷化氢(PH3),在常温下是一种无色有大蒜臭味的有毒气体,电石气的杂质中常含有磷化氢.它的分子构型是三角锥形.以下关于PH3的叙述正确的是 | |
| [ ] | |
A. |
PH3分子中有未成键的孤对电子 |
B. |
PH3是非极性分子 |
C. |
PH3是一种强氧化剂 |
D. |
PH3分子的P-H键是非极性键 |
|
碘单质在水中溶解度很小,但在CCl4中溶解度很大,这是因为 | |
| [ ] | |
A. |
CCl4与I2相对分子质量相差较小,而H2O与I2相对分子质量相差较大 |
B. |
CCl4与I2都是直线形分子,而H2O不是直线形分子 |
C. |
CCl4和I2都不含氢元素,而H2O中含有氢元素 |
D. |
CCl4和I2都是非极性分子,而H2O是极性分子 |
|
下列各基态原子或离子的电子排布式错误的是 | |
| [ ] | |
A. |
Al 1s22s22p63s23p1 |
B. |
S2- 1s22s22p63s23p4 |
C. |
Na+ 1s22s22p6 |
D. |
F 1s22s22p5 |
|
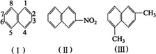
萘环上的碳原子的编号如(Ⅰ)式,根据系统命名法,(Ⅱ)式可称为2-硝基萘,则化合物(Ⅲ)的名称应是
| |
| [ ] | |
A. |
2,6-二甲基萘 |
B. |
1,4-二甲基萘 |
C. |
4,7-二甲基萘 |
D. |
1,6-二甲基萘 |