已知:
试以1-丁烯为主要原料合成,并写出合成路线.
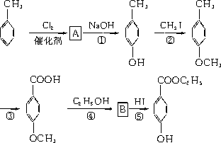
工业上用甲苯生产对-羟基苯甲酸乙酯(一种常见的化妆品防霉剂),其生产过程如下图(反应条件没有全部注明):
根据上述合成路线回答:
(1)有机物A的结构简式________.
(2)反应④的化学方程式(有机物写结构简式,要注明反应条件):________.
(3)反应③的反应类型(填编号)________,反应⑤的反应类型(填编号)________.
A.取代反应
B.加成反应
C.消去反应
D.酯化反应
E.氧化反应
(4)反应③的化学方程式________.
(5)在合成线路中,设计第②和第⑤这两步反应的目的是________.
乙酸苯甲酯对花香和果香的香韵具有提升作用,故常用于化妆品工业和食品工业.乙酸苯甲酯可以用下面的设计方案合成.
写出A、C的结构简式:A________,C________.
氯普鲁卡因盐酸盐是一种局部麻醉剂,麻醉作用较快、较强,毒性较低,其合成路线如下:
请把相应反应名称填入下表中,供选择的反应名称如下:
氧化、还原、硝化、碘化、氯代、酸化、碱化、成盐、酯化、酯交换、水解
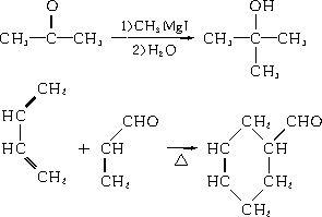
已知烯烃中CC在某些强氧化剂作用下易发生断裂,因而在有机合成中有时需要对其保护.保护的过程可简单表示如下:
Ⅰ.
Ⅱ.
又知卤代烃在碱性条件下易发生水解,例如:
CH3CH2Cl+H2OCH3CH2OH+HCl
但烯烃中在酸性条件下才能与水发生加成反应.现用石油产品丙烯及必要的无机试剂合成丙烯酸,设计的合成流程如下:
请写出②③④三步反应的化学方程式.
由乙烯和其他无机原料合成环状化合物E,请在方框内填入合适的化合物的结构简式,并写出A的水解方程式.
α松油醇可经以下路线合成,小方框中的每一字母各代表一种有机物:
可供选择的试剂:①Br2 ②H2 ③O2?
提示:
请回答下列问题:?
(1)试剂1是________,试剂2是________.?
(2)A至H中,能发生银镜反应的是________.?
(3)G和H的结构简式分别是:G________;H________.
(4)E转化为F的反应方程式是________.
某有机化合物X(C7H8O)与另一有机化合物Y发生如下反应生成化合物Z(C11H14O2):X+YZ+H2O
(1)
X是下列化合物之一,已知X不能与FeCl3溶液发生显色反应,则X是
A.
B.
C.
D.
(2)
Y的分子式是________,可能的结构简式是________和________.
(3)
Y有多种同分异构体,其中一种同分异构体E发生银镜反应后,其产物经酸化可得到F(C4H8O3).F可发生如下反应:
F
该反应的类型是________,E的结构简式为________.
(4)
若Y与E具有相同的碳链,则Z的结构简式为________.
有一种广泛应用于汽车、家电产品上的高分子涂料,是按下列流程生产的,图中的M(C3H4O)和A都可以发生银镜反应,N和M的分子中碳原子数相等,A的烃基上一氯取代位置有三种.
试写出:
(1)物质的结构简式:A________,M________;物质A的同类别的同分异构体为________.
(2)N+BD的化学方程式:________.
(3)反应类型:x________,y________.
某高校曾以下列路线合成药物心舒宁(又名冠心宁),它是一种有机酸盐.
注:(ⅰ)
(ⅱ)心舒宁结构中间的圆点·表示形成盐.
(1)心舒宁的分子式为________.
(2)中间体(Ⅰ)的结构简式是________.
(3)反应①~⑤中属于加成反应的是________(填反应代号).
(4)如果将⑤⑥两步颠倒,则最后得到的是(写结构简式):________.