|
其发光原理是利用H2O2氧化草酸二酯产生
能量,该能量被传递给荧光物质后发出荧光,
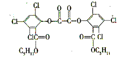
草酸二酯(CPPO)结构简式如右图所示:
下列有关说法不正确的是: ( )
A.草酸二酯属于芳香族化合物 B.草酸二酯的分子式为C26H23O8Cl6
C.草酸二酯难溶于水 D.1mol草酸二酯最多可与4molNaOH反应
工业生产苯乙烯是利用乙苯的脱氢反应:
|
(g)
针对上述反应,在其它条件不变时,下列说法正确的是
A.加入适当催化剂,可以提高苯乙烯的产量
B.在保持体积一定的条件下,充入较多的乙苯,可以提高乙苯的转化率
C.仅从平衡移动的角度分析,工业生产苯乙烯选择恒压条件优于恒容条件
D.加入乙苯至反应达到平衡过程中,混合气体的平均相对分子质量不断增大
A、B、C三种香料的结构简式如下。
(1)B的分子式是_______________,C中的含氧官能团名称是_____________________________。
(2)A在一定条件下可转化为一种高分子化合物,该化合物的结构简式是___________________。
(3)C经过下列反应得到E。在一定条件下,两分子E之间发生反应生成六元环酯F。
E→F的化学方程式是____________________________________________________。