Ⅰ有机物的结构也可用键线式表示.如:
(1)具有相同碳原子数的环烷烃与______是同分异构体.
(2)
的分子式为______;
(3)乙炔3分子聚合的产物为苯.写出丙炔三分子聚合形成的芳香烃分子的键线式______
(4)由
以及必要的无机试剂可合成
,写出第一步合成反应的化学方程式______.
(5)
的一种同分异构体A,它的一氯代物有三种.与Br2按1:1加成产物只有一种(不考虑顺反、立体异构),则A的结构简式为______.
Ⅱ乙基香草醛(
)是食品添加剂的增香原料,其香味比香草醛更加浓郁.
(1)乙基香草醛分子中的含氧官能团有乙氧基、______、______.核磁共振谱表明该分子中有______种不同类型的氢原子.
乙基香草醛的同分异构体A是一种有机酸,A可发生以下变化:

提示:a.RCH2OH
RCHO
b.与苯环直接相连的碳原子上有氢时,此碳原子才可被酸性KMnO4溶液氧化为羧基.
(2)A生成C的反应类型是______.
(3)写出在加热条件下C与NaOH水溶液发生反应的化学方程式______.
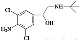
(4)乙基香草醛的另一种同分异构体D(
)是一种医药中间体.
请设计合理方案用茴香醛(
)合成D.用反应流程图表示如下,请将后面一步的反应条件写在箭号下方,试剂或原料写在箭号上方,中间产物填在下图中的方框内.并写出茴香醛与银氨溶液反应的化学方程式.
______、______.
0 66907 66915 66921 66925 66931 66933 66937 66943 66945 66951 66957 66961 66963 66967 66973 66975 66981 66985 66987 66991 66993 66997 66999 67001 67002 67003 67005 67006 67007 67009 67011 67015 67017 67021 67023 67027 67033 67035 67041 67045 67047 67051 67057 67063 67065 67071 67075 67077 67083 67087 67093 67101 203614
| 结构简式 | |||
| 键线式 |
(2)
(3)乙炔3分子聚合的产物为苯.写出丙炔三分子聚合形成的芳香烃分子的键线式______
(4)由
(5)
Ⅱ乙基香草醛(
(1)乙基香草醛分子中的含氧官能团有乙氧基、______、______.核磁共振谱表明该分子中有______种不同类型的氢原子.
乙基香草醛的同分异构体A是一种有机酸,A可发生以下变化:
提示:a.RCH2OH
b.与苯环直接相连的碳原子上有氢时,此碳原子才可被酸性KMnO4溶液氧化为羧基.
(2)A生成C的反应类型是______.
(3)写出在加热条件下C与NaOH水溶液发生反应的化学方程式______.
(4)乙基香草醛的另一种同分异构体D(
请设计合理方案用茴香醛(