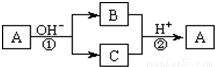
某化学小组用粗氧化铜(含少量氧化亚铁及不溶于酸的杂质)制取无水氯化铜,其实验流程如下所示:

(1)步骤①中氧化铜与盐酸反应的离子方程式是______.
(2)步骤①、③的过滤操作中,除用到铁架台(带铁圈)外,还需要使用的玻璃仪器是______.
(3)已知:
参照表中给出的数据和试剂,请回答:
步骤②的目的是______,反应的离子方程式是______.步骤③中调节溶液pH的范围是______,试剂Y是______(填字母).
(4)步骤⑤要得到无水氯化铜,需要在干燥的HCl气流中加热CuCl2?2H2O,其原因是______.
(1)步骤①中氧化铜与盐酸反应的离子方程式是______.
(2)步骤①、③的过滤操作中,除用到铁架台(带铁圈)外,还需要使用的玻璃仪器是______.
(3)已知:
| 氢氧化物开始沉淀时的pH | 氢氧化物沉淀完全时的pH | |
| Fe3+ | 1.9 | 3.2 |
| Fe2+ | 7.0 | 9.0 |
| Cu2+ | 4.7 | 6.7 |
| 提供的试剂:a.NaOH b.H2O2c.Na2CO3d.CuO | ||
步骤②的目的是______,反应的离子方程式是______.步骤③中调节溶液pH的范围是______,试剂Y是______(填字母).
(4)步骤⑤要得到无水氯化铜,需要在干燥的HCl气流中加热CuCl2?2H2O,其原因是______.
根据如图表示的一些物质或概念间的从属关系,下列各项中不正确的是:( )

A.A
B.B
C.C
D.D
| X | Y | Z | |
| A | 水泥 | 硅酸盐产品 | 无机非金属材料 |
| B | 胶体 | 分散系 | 混合物 |
| C | 电解质 | 离子化合物 | 化合物 |
| D | 吸氧腐蚀 | 电化学腐蚀 | 金属腐蚀 |
A.A
B.B
C.C
D.D
在一密闭器中通入N2和H2,在一定条件下发生反应:N2+3H2═2NH3△<0,达到平衡后,只改变其中一个条件(X),下 量(Y)的变化一定符合图中曲线的是:( )

A.A
B.B
C.C
D.D
0 66780 66788 66794 66798 66804 66806 66810 66816 66818 66824 66830 66834 66836 66840 66846 66848 66854 66858 66860 66864 66866 66870 66872 66874 66875 66876 66878 66879 66880 66882 66884 66888 66890 66894 66896 66900 66906 66908 66914 66918 66920 66924 66930 66936 66938 66944 66948 66950 66956 66960 66966 66974 203614
| X | Y | |
| A | 再加入N2 | H2的转化率 |
| B | 再加入NH3 | N2的体积分数 |
| C | 增大体积 | N2的转化率 |
| D | 升高温度 | 混合气体密度 |
A.A
B.B
C.C
D.D