题目内容

A、B都是芳香族化合物,1molA水解得到1molB和1mol乙酸,A、B的相对分子质量都不超过200,完全燃烧只生成,且B分子中碳氢元素总质量分数为65.2%,A具有酸性,不能使溶液显色.

(1)A、B相对分子质量之差为________.

(2)1个B分子中应有________个氧原子.

(3)A的分子式是________.

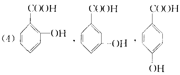
(4)B可能的三种结构简式是________、________、________.

答案:
解析:

解析:(1)由题给条件知

由质量守恒:M(A)+18=M(B)+60

即M(A)—M(B)=42

(2)由题给条件知A中必含有苯环和,又因为A的溶液有酸性且不能使溶液显色,说明A中不含酚—OH而一定含—COOH;B是由A水解而得,所以B中必含—COOH、—OH,B的相对分子质量最大值为200—42=158,所以B中至多也只有3个O,若含4个O则不符合题意.

(3)综上所述B的相对分子质量为,这样B中只能含一个—OH、一个—COOH、一个苯环.

A的分子式为,B可能的结构简式为:

答案:(1)42(2)3(3)


练习册系列答案
相关题目

违法和不良信息举报电话:027-86699610 举报邮箱:58377363@163.com

精英家教网