题目内容

某研究性学习小组拟用铜屑与氧化铜混合物与由硫酸和硝酸组成的混合酸反应来制取CuSO4·5H2O晶体,混合酸中硝酸的还原产物均为NO,反应过程中不产生SO2,反应后的溶液中不含Cu(NO3)2,反应中固体完全溶解,两种酸均恰好完全反应.设固体混合物的总质量为480 g,其中铜单质的质量分数为x,试完成下列问题:

(1)所得硫酸铜晶体的质量y为________g(用x表示).

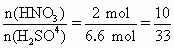
(2)若x=0.4,则混合酸中HNO3与H2SO4的物质的量之比为多少?

(3)若x=0.4,用480 g固体混合物与一定量混合酸微热后,充分反应,冷却恰好只得到CuSO4·5H2O,试求原混合酸中H2SO4的质量分数.

答案:
解析:

  答案:(1)375x+1500 (2)10∶33 (3)52.6%

  思路解析:(1)m(CuSO4·5H2O)=[]×250 g·mol-1=(375x+1500) g

  (2)若x=0.4,在480 g混合物中,n(Cu)=480 g×0.464 g·mol-1=3 mol

  n(CuO)==3.6 mol

  依据3Cu+8H+3Cu2++2NO↑+4H20,所需n(HNO3)=3 mol×=2 mol

  n(H2SO4)=3 mol+3.6 mol=6.6 mol,

  (3)原混合酸中m(H2SO4)=98 g·mol-1×6.6 mol=646.8 g,原混合酸总质量为:m(CuSO4·5H2O)+m(NO)-[m(Cu)+m(CuO)]=250 g·mol-1×6.6 mol+30 g·mol-1×2 mol-480 g=1230 g

  所以w(H2SO4)=×100%=52.6%


练习册系列答案
相关题目
(2011?山西模拟)甲醛是重要的有机合成原料,大量用于生产树脂、合成纤维、药物、涂料等,也是世界卫生组织(WHO)确认的致癌物和致畸物质之一.据中国室内环境监测工作委员会调查统计,中国新装家庭甲醛超标60%以上.我国规定室内空气中甲醛含量不得超过0.08mg/m3
(1)下列说法或做法不合理的是
a
a
.(填字母)
a.用甲醛溶液浸泡水产品以长时间保持水产品的“新鲜”
b.刚装修的新房入住前房间内保持一定温度并注意通风
c.合成“吊白块”的反应NaHSO3+HCHO→NaO-CH2-SO3H是加成反应
d.福尔马林可用于制作动物标本(或保存尸体)
(2)某研究性学习小组拟用甲醛法测定常见铵态氮肥的含氮量
〔资料:4NH4++6HCHO=(CH26N4H++3H++6H2O,所生成的H+和(CH26N4H+可用NaOH标准溶液滴定,采用酚酞作指示剂〕.
用甲醛法测定含氮量,不适合的铵盐是
a
a
.(填字母)
a.NH4HCO3  b.(NH42SO4     c.NH4Cl
(3)工业制甲醛的两种方法如下(数据均为298.15K下测定):
反应I:
CH3OH(g)→HCHO(g)+H2(g)△H1=+92.09kJ/mol,K1=3.92×10-11
反应II:
CH3OH(g)+
12
O2(g)→HCHO(g)+H2O(g)△H2=-149.73kJ/mol,K2=4.35×1029
①绿色化学提倡化工生产应提高原子利用率.反应
I
I
(填“I”或“II”)制甲醛原子利用率更高.从反应的焓变和平衡常数K值看,反应
II
II
(填“I”或“II”)制甲醛更加有利.
②反应Ⅱ自发进行的条件是
C
C
(填字母).
a.高温b.低温c.任何条件
③右上图是甲醇制甲醛有关反应的lgK(平衡常数的对数值随温度T的变化.图中曲线(1)表示的是反应
II
II
(填“I”或“II”).
(4)某研究性学习小组测定居室中甲醛的含量的原理如下:
4MnO4-+5HCHO+12H+=4Mn2++5CO2↑+11H2O

打开a,关闭b,用注射器抽取室内空气;关闭a,打开b,再推动注射器,将气体缓缓推入酸性KMnO4溶液中,使其充分反应.当B装置中
酸性KMnO4溶液颜色突然褪去
酸性KMnO4溶液颜色突然褪去
时停止推气.若总共取样为50L空气,则该居室内空气中甲醛的浓度
0.375
0.375
 mg/m3
甲醛亦称“蚁醛”.含甲醛37~40%、甲醇8%的水溶液俗称“福尔马林”.甲醛是重要的有机合成原料,大量用于生产树脂、合成纤维、药物、涂料等.甲醛是世界卫生组织(WHO)确认的致癌物和致畸物质之一.我国规定:室内甲醛含量不得超过0.08mg?m-3
(1)下列说法或做法不合理的是
 
.(填字母)
a.用甲醛溶液浸泡水产品以长时间保持水产品的“新鲜”
b.刚装修的新房入住前房间内保持一定温度并注意通风
c.对人体健康有危害的吊白块的合成反应NaHSO3+HCHO→NaO-CH2-SO3H的反应类型是加成反应
d.福尔马林可用于制作动物标本(或保存尸体)
(2)某研究性学习小组拟用甲醛法测定常见铵态氮肥的含氮量[资料:4NH4++6HCHO=(CH26N4H++3H++6H2O,所生成的H+和(CH26N4H+可用NaOH标准溶液滴定,采用酚酞作指示剂].用甲醛法测定含氮量,不适合的铵盐是
 
.(填字母)
a.NH4HCO3 b.(NH42SO4 c.NH4Cl
(3)甲醇脱氢是制甲醛最简单的工业方法:精英家教网
反应Ⅰ:CH3OH(g)→HCHO(g)+H2(g);△H1=92.09kJ?mol-1,其平衡常数K1=3.92×10-11
甲醇氧化是制甲醛的另一种工业方法,即甲醇蒸气和一定量的空气通过Ag催化剂层,甲醇即被氧化得到甲醛:
反应Ⅱ:CH3OH(g)+
12
O2(g)→HCHO(g)+H2O(g);△H2=-149.73kJ?mol-1,其平衡常数K2=4.35×1029(上述数据均为298.15K下测定.)
①绿色化学提倡化工生产应提高原子利用率.原子利用率表示目标产物的质量与生成物总质量之比.反应
 
(填“Ⅰ”或“Ⅱ”)制甲醛原子利用率更高.从反应的焓变和平衡常数K值看,反应
 
(填“Ⅰ”或“Ⅱ”)制甲醛更加有利.
②反应Ⅱ自发进行的条件是
 

a.高温b.低温c.任何条件都自发
③右图是甲醇制甲醛有关反应的lgK(平衡常数的对数值)随温度T的变化.图中曲线(1)表示的是反应
 
(填“Ⅰ”或“Ⅱ”).

违法和不良信息举报电话:027-86699610 举报邮箱:58377363@163.com

精英家教网