题目内容

X、Y、Z三种气体,把a mol X和b mol Y充入一密闭容器中,发生反应,达平衡时,若它们的物质的量满足:,则Y的转化率为

[  ]

A.     B.

C.    D.

答案:B
解析:

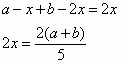
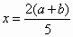
方法一:设Y转化量为2x

      X  + 2Y  2Z

起始(mol)  a    b      o

转化(mol)  x    2x     2x

平衡(mol)  a-x  b-2x    2x

由已知平衡时列出方程

    

由Y转化量可求出转化率为B选项.

方法二:差量法.设平衡时,Y物质的量为x

 

   2mol  

    x   

  

  

同样可求转化率.


练习册系列答案
相关题目

违法和不良信息举报电话:027-86699610 举报邮箱:58377363@163.com

精英家教网