题目内容

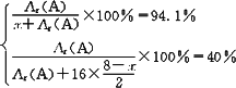
9.6 g元素A4.2 g元素B含有相同的原子数,AB原子核中质子数与中子数相等,已知A元素在其最高价氧化物中的含量是40%,在其氢化物中含量为94.1%.试计算AB两元素的相对原子质量,并推算出它们在周期表中的位置.

答案:
解析:

  答案:设该氢化物为HxA,该最高价氧化物化学式应该为A2O8x

  

  x2
提示:

练习册系列答案
相关题目

违法和不良信息举报电话:027-86699610 举报邮箱:58377363@163.com

精英家教网