题目内容

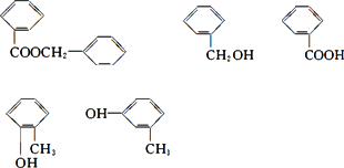
A是一种酯,分子式是C14H12O2,A可以由醇B跟羧酸C发生酯化反应得到.A不能使溴的CCl4溶液褪色,氧化B可得到C.

(1)写出A、B、C的结构简式:

A________,B________,C________.

(2)写出B的两种同分异构体的结构简式(它们都可以跟NaOH反应):________和________.

答案:
解析:

  (1)

  

  (2)(任选两种)


提示:

此题所给已知条件很少,所以要充分领会题意,使用好有限条件.由酯分子可知为不饱和酯,又不使溴褪色可知为芳香酯.芳香醇、芳香酸、芳香酯在有机合成、推断试题中的应用是十分广泛的.


练习册系列答案
相关题目

违法和不良信息举报电话:027-86699610 举报邮箱:58377363@163.com

精英家教网