ÌâÄ¿ÄÚÈÝ

¹¤ÒµÉú²ú´¿¼îµÄ¹¤ÒÕÁ÷³ÌʾÒâͼÈçÏÂ
Íê³ÉÏÂÁÐÌî¿Õ£º
£¨1£©´ÖÑÎË®¼ÓÈë³Áµí¼ÁA¡¢B³ýÔÓÖÊ£¨³Áµí¼ÁAÀ´Ô´ÓÚʯ»ÒÒ¤³§£©£¬Ð´³öA¡¢BµÄ»¯Ñ§Ê½¡£
A_________B_________
£¨2£©ÊµÑéÊÒÌá´¿´ÖÑεÄʵÑé²Ù×÷ÒÀ´ÎΪ£ºÈ¡Ñù¡¢_________¡¢³Áµí¡¢_________¡¢_________¡¢ÀäÈ´½á¾§¡¢_________¡¢ºæ¸É¡£
£¨3£©¹¤ÒµÉú²ú´¿¼î¹¤ÒÕÁ÷³ÌÖУ¬Ì¼Ëữʱ²úÉúµÄÏÖÏóÊÇ__________________¡£Ì¼ËữʱûÓÐÎö³ö̼ËáÄÆ¾§Ì壬ÆäÔ­ÒòÊÇ__________________¡£
£¨4£©Ì¼Ëữºó¹ýÂË£¬ÂËÒºD×îÖ÷ÒªµÄ³É·ÖÊÇ_________£¨Ìîд»¯Ñ§Ê½£©£¬¼ìÑéÕâÒ»³É·ÖµÄÒõÀë×ӵľßÌå·½·¨ÊÇ£º__________________¡£
£¨5£©°±¼î·¨Á÷³ÌÖа±ÊÇÑ­»·Ê¹Óõģ¬Îª´Ë£¬ÂËÒºD¼ÓÈëʯ»ÒË®²úÉú°±¡£¼Óʯ»ÒË®ºóËù·¢ÉúµÄ·´Ó¦µÄÀë×Ó·½³ÌʽΪ£º__________________ÂËÒºD¼Óʯ»ÒˮǰÏÈÒª¼ÓÈÈ£¬Ô­ÒòÊÇ__________________¡£
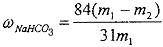
£¨6£©²úÆ·´¿¼îÖк¬ÓÐ̼ËáÇâÄÆ¡£Èç¹ûÓüÓÈÈ·Ö½âµÄ·½·¨²â¶¨´¿¼îÖÐ̼ËáÇâÄÆµÄÖÊÁ¿·ÖÊý£¬´¿¼îÖÐ̼ËáÇâÄÆµÄÖÊÁ¿·ÖÊý¿É±íʾΪ£º__________________£¨×¢Ã÷ÄãµÄ±í´ïʽÖÐËùÓõÄÓйطûºÅµÄº¬Ò壩
£¨1£©Ca(OH)2»òCaO£»Na2CO3
£¨2£©Èܽ⣻¹ýÂË£»Õô·¢£»¹ýÂË
£¨3£©Óо§ÌåÎö³ö£¨»ò³öÏÖ»ë×Ç£©£»Ì¼ËáÄÆÈܽâ¶È±È̼ËáÇâÄÆ´ó
£¨4£©NH4Cl£»È¡Ñù£¬¼ÓÏõËáËữ£¬¼ÓÏõËáÒø£¬Óа×É«³Áµí£¬¸ÃÒõÀë×ÓÊÇÂÈÀë×Ó
£¨5£©NH4++OH-==NH3¡ü+H2O£»·ÀÖ¹¼Óʯ»Òˮʱ²úÉú̼Ëá¸Æ³Áµí
£¨6£©£¨m1£º¼ÓÈÈǰ´¿¼îµÄÖÊÁ¿£»m2£º¼ÓÈȺ󴿼îµÄÖÊÁ¿£©
Á·Ï°²áϵÁдð°¸
Ïà¹ØÌâÄ¿
£¨2011?ÄÏ¿ªÇø¶þÄ££©¹¤ÒµÉú²ú´¿¼îµÄ¹¤ÒÕÁ÷³ÌʾÒâͼÈçÏÂËùʾ£¬ÆäÖÐÏò´ÖÑÎË®ÖмÓÈëµÄ³Áµí¼ÁA¡¢B·Ö±ðΪÑõ»¯¸ÆºÍ̼ËáÄÆ£®

Çë»Ø´ðÏÂÁÐÎÊÌ⣺
£¨1£©ÊµÑéÊÒÌá´¿´ÖÑεÄʵÑé²Ù×÷ÒÀ´ÎΪ£º
È¡Ñù¡¢
Èܽâ
Èܽâ
¡¢³Áµí¡¢¹ýÂË¡¢
Õô·¢
Õô·¢
¡¢ÀäÈ´½á¾§¡¢¹ýÂË¡¢ºæ¸É£®
Èô¹ýÂËʱ·¢ÏÖÂËÒºÖÐÓÐÉÙÁ¿»ë×Ç£¬´ÓʵÑé²Ù×÷µÄ½Ç¶È¸ø³öÁ½ÖÖ¿ÉÄܵÄÔ­Òò£º
ÒºÃæ¸ßÓÚÂËÖ½±ßÔµ»òÂËÖ½ÆÆÁË
ÒºÃæ¸ßÓÚÂËÖ½±ßÔµ»òÂËÖ½ÆÆÁË
£®
£¨2£©ÊµÑéÊÒÖУ¬ÓÃÌá´¿µÃµ½µÄNaClÅäÖÆ500mL 1.00mol£®L-1NaClÈÜÒº£¬Ê¹ÓõÄÒÇÆ÷³ýÒ©³×¡¢²£Á§°ô¡¢Á¿Í²Í⣬»¹ÐèÒª
ÍÐÅÌÌìÆ½¡¢ÉÕ±­¡¢500mlµÄÈÝÁ¿Æ¿¡¢½ºÍ·µÎ¹Ü
ÍÐÅÌÌìÆ½¡¢ÉÕ±­¡¢500mlµÄÈÝÁ¿Æ¿¡¢½ºÍ·µÎ¹Ü
£¨ÌîÒÇÆ÷Ãû³Æ£©£®
£¨3£©Éú²ú´¿¼îµÄ¹¤ÒÕÁ÷³ÌÖУ¬Ì¼ËữʱÎö³öNaHCO3¾§Ì壬ûÓÐÎö³öNa2CO3¾§ÌåµÄÔ­ÒòÊÇ
NaHCO3µÄÈܽâ¶ÈСÓÚNa2CO3
NaHCO3µÄÈܽâ¶ÈСÓÚNa2CO3
£®Ì¼Ëữºó¹ýÂË£¬ÂËÒºD×îÖ÷ÒªµÄ³É·ÖÊÇ£¨Ð´»¯Ñ§Ê½£©
NH4Cl
NH4Cl
£¬¼ìÑéÕâÒ»²¿·ÖµÄÒõÀë×ӵľßÌå·½·¨ÊÇ
È¡ÉÙÁ¿ÂËÒº£¬ÏȼÓÏõËáËữ£¬ÔٵμÓÏõËáÒøÈÜÒº£¬Óа×É«³Áµí£¬¸ÃÒõÀë×ÓÊÇÂÈÀë×Ó£»
È¡ÉÙÁ¿ÂËÒº£¬ÏȼÓÏõËáËữ£¬ÔٵμÓÏõËáÒøÈÜÒº£¬Óа×É«³Áµí£¬¸ÃÒõÀë×ÓÊÇÂÈÀë×Ó£»
£®
£¨4£©±¾¹¤ÒÕÁ÷³ÌÖа±ÊÇÑ­»·Ê¹Óõģ¬Îª´Ë£¬ÏòÂËÒºDÖмÓÈëʯ»ÒË®²úÉú°±£®Ð´³ö¸Ã·´Ó¦µÄÀë×Ó·½³Ìʽ
NH4++OH-
  ¡÷  
.
 
NH3¡ü+H2O
NH4++OH-
  ¡÷  
.
 
NH3¡ü+H2O
£®
£¨5£©²úÆ·´¿¼îÖк¬ÓÐ̼ËáÇâÄÆ£¬Èç¹ûÓüÓÈÈ·Ö½âµÄ·½·¨²â¶¨´¿¼îÖÐ̼ËáÇâÄÆµÄÖÊÁ¿·ÖÊý£¬´¿¼îÖÐ̼ËáÇâÄÆµÄÖÊÁ¿·ÖÊý¿É±íʾΪ£¨Çë×¢Ã÷ÄãµÄ±í´ïʽÖÐËùÓõÄÓйطûºÅµÄº¬Ò壩£º
84(m1-m2
31m1
84(m1-m2
31m1
£®

¹¤ÒµÉú²ú´¿¼îµÄ¹¤ÒÕÁ÷³ÌʾÒâͼÈçÏÂËùʾ£¬ÆäÖÐÏò´ÖÑÎË®ÖмÓÈëµÄ³Áµí¼ÁA¡¢B·Ö±ðΪÑõ»¯¸ÆºÍ̼ËáÄÆ£®

Çë»Ø´ðÏÂÁÐÎÊÌ⣺
£¨1£©ÊµÑéÊÒÌá´¿´ÖÑεÄʵÑé²Ù×÷ÒÀ´ÎΪ£º
È¡Ñù¡¢______¡¢³Áµí¡¢¹ýÂË¡¢______¡¢ÀäÈ´½á¾§¡¢¹ýÂË¡¢ºæ¸É£®
Èô¹ýÂËʱ·¢ÏÖÂËÒºÖÐÓÐÉÙÁ¿»ë×Ç£¬´ÓʵÑé²Ù×÷µÄ½Ç¶È¸ø³öÁ½ÖÖ¿ÉÄܵÄÔ­Òò£º______£®
£¨2£©ÊµÑéÊÒÖУ¬ÓÃÌá´¿µÃµ½µÄNaClÅäÖÆ500mL 1.00mol£®L-1NaClÈÜÒº£¬Ê¹ÓõÄÒÇÆ÷³ýÒ©³×¡¢²£Á§°ô¡¢Á¿Í²Í⣬»¹ÐèÒª______£¨ÌîÒÇÆ÷Ãû³Æ£©£®
£¨3£©Éú²ú´¿¼îµÄ¹¤ÒÕÁ÷³ÌÖУ¬Ì¼ËữʱÎö³öNaHCO3¾§Ì壬ûÓÐÎö³öNa2CO3¾§ÌåµÄÔ­ÒòÊÇ______£®Ì¼Ëữºó¹ýÂË£¬ÂËÒºD×îÖ÷ÒªµÄ³É·ÖÊÇ£¨Ð´»¯Ñ§Ê½£©______£¬¼ìÑéÕâÒ»²¿·ÖµÄÒõÀë×ӵľßÌå·½·¨ÊÇ______£®
£¨4£©±¾¹¤ÒÕÁ÷³ÌÖа±ÊÇÑ­»·Ê¹Óõģ¬Îª´Ë£¬ÏòÂËÒºDÖмÓÈëʯ»ÒË®²úÉú°±£®Ð´³ö¸Ã·´Ó¦µÄÀë×Ó·½³Ìʽ______£®
£¨5£©²úÆ·´¿¼îÖк¬ÓÐ̼ËáÇâÄÆ£¬Èç¹ûÓüÓÈÈ·Ö½âµÄ·½·¨²â¶¨´¿¼îÖÐ̼ËáÇâÄÆµÄÖÊÁ¿·ÖÊý£¬´¿¼îÖÐ̼ËáÇâÄÆµÄÖÊÁ¿·ÖÊý¿É±íʾΪ£¨Çë×¢Ã÷ÄãµÄ±í´ïʽÖÐËùÓõÄÓйطûºÅµÄº¬Ò壩£º______£®

¹¤ÒµÉú²ú´¿¼îµÄ¹¤ÒÕÁ÷³ÌʾÒâͼÈçÏÂËùʾ£¬ÆäÖÐÏò´ÖÑÎË®ÖмÓÈëµÄ³Áµí¼ÁA¡¢B·Ö±ðΪÑõ»¯¸ÆºÍ̼ËáÄÆ£®

¾«Ó¢¼Ò½ÌÍø

Çë»Ø´ðÏÂÁÐÎÊÌ⣺
£¨1£©ÊµÑéÊÒÌá´¿´ÖÑεÄʵÑé²Ù×÷ÒÀ´ÎΪ£º
È¡Ñù¡¢______¡¢³Áµí¡¢¹ýÂË¡¢______¡¢ÀäÈ´½á¾§¡¢¹ýÂË¡¢ºæ¸É£®
Èô¹ýÂËʱ·¢ÏÖÂËÒºÖÐÓÐÉÙÁ¿»ë×Ç£¬´ÓʵÑé²Ù×÷µÄ½Ç¶È¸ø³öÁ½ÖÖ¿ÉÄܵÄÔ­Òò£º______£®
£¨2£©ÊµÑéÊÒÖУ¬ÓÃÌá´¿µÃµ½µÄNaClÅäÖÆ500mL 1.00mol£®L-1NaClÈÜÒº£¬Ê¹ÓõÄÒÇÆ÷³ýÒ©³×¡¢²£Á§°ô¡¢Á¿Í²Í⣬»¹ÐèÒª______£¨ÌîÒÇÆ÷Ãû³Æ£©£®
£¨3£©Éú²ú´¿¼îµÄ¹¤ÒÕÁ÷³ÌÖУ¬Ì¼ËữʱÎö³öNaHCO3¾§Ì壬ûÓÐÎö³öNa2CO3¾§ÌåµÄÔ­ÒòÊÇ______£®Ì¼Ëữºó¹ýÂË£¬ÂËÒºD×îÖ÷ÒªµÄ³É·ÖÊÇ£¨Ð´»¯Ñ§Ê½£©______£¬¼ìÑéÕâÒ»²¿·ÖµÄÒõÀë×ӵľßÌå·½·¨ÊÇ______£®
£¨4£©±¾¹¤ÒÕÁ÷³ÌÖа±ÊÇÑ­»·Ê¹Óõģ¬Îª´Ë£¬ÏòÂËÒºDÖмÓÈëʯ»ÒË®²úÉú°±£®Ð´³ö¸Ã·´Ó¦µÄÀë×Ó·½³Ìʽ______£®
£¨5£©²úÆ·´¿¼îÖк¬ÓÐ̼ËáÇâÄÆ£¬Èç¹ûÓüÓÈÈ·Ö½âµÄ·½·¨²â¶¨´¿¼îÖÐ̼ËáÇâÄÆµÄÖÊÁ¿·ÖÊý£¬´¿¼îÖÐ̼ËáÇâÄÆµÄÖÊÁ¿·ÖÊý¿É±íʾΪ£¨Çë×¢Ã÷ÄãµÄ±í´ïʽÖÐËùÓõÄÓйطûºÅµÄº¬Ò壩£º______£®

Î¥·¨ºÍ²»Á¼ÐÅÏ¢¾Ù±¨µç»°£º027-86699610 ¾Ù±¨ÓÊÏ䣺58377363@163.com

¾«Ó¢¼Ò½ÌÍø