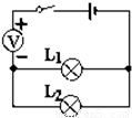
如图所示,“探究串联电路电流特点”的实验电路图.
(1)在实验中,选择的两个小灯泡的规格应该是______(填:相同或不相同)的.(2)上表是某同学实验中的一组数据:
指出上述表格所记录的数据中,明显错误的数值是______,造成错误的原因是:______.
| 电流表的位置 | A | B | C |
| 电流I/A | 0.3 | 0.3 | 1.5 |
指出上述表格所记录的数据中,明显错误的数值是______,造成错误的原因是:______.
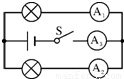
在“探究串联电路中各点的电流有什么关系”时,小明设计实验如右图.把两个灯泡L1、L2串联起来接到右图所示电路中,分别把图中A、B、C各点断开,把______接入,测量流过的电流,看看它们之间有什么关系.
换上另外两个小灯泡,再次测量三点的______,看看是否还有同样的关系.
下表是两次测量的记录数据.
分析和论证:
(1)在拆接电路时,开关S必须处于______状态.
(2)结论:串联电路中各处______相等.
0 74057 74065 74071 74075 74081 74083 74087 74093 74095 74101 74107 74111 74113 74117 74123 74125 74131 74135 74137 74141 74143 74147 74149 74151 74152 74153 74155 74156 74157 74159 74161 74165 74167 74171 74173 74177 74183 74185 74191 74195 74197 74201 74207 74213 74215 74221 74225 74227 74233 74237 74243 74251 235360
换上另外两个小灯泡,再次测量三点的______,看看是否还有同样的关系.
下表是两次测量的记录数据.
| A点的电流IA | B点的电流IB | C点的电流IC | |
| 第一次测量 | 0.3A | 0.3A | 0.3A |
| 第二次测量 | 0.2A | 0.2A | 0.2A |
(1)在拆接电路时,开关S必须处于______状态.
(2)结论:串联电路中各处______相等.