题目内容
汽车出厂前要进行测试.某次测试中,先让汽车在模拟山路上以8m/s的速度行驶500s,紧接着在模拟公路上以20m/s的速度行驶100s.求:(1)该汽车在模拟山路上行驶的路程;
(2)汽车在这次整个测试中的平均速度.
【答案】分析:(1)根据速度公式v=
就会求出汽车在模拟山路上行驶的路程;
(2)山路上与公路上的总路程除以山路上与公路上总时间即为汽车在这次整个测试中的平均速度.
解答:解:已知:V1=8m/s,t1=500s,V2=20m/s,t2=100s,
(1)根据速度公式得S1=V1tl=8m/s×500s=4000m,
答:汽车在模拟山路上行驶的路程为4000m.
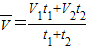
(2)汽车在这次整个测试中的平均速度:
=
=
,
答:汽车在这次整个测试中的平均速度10m/s.
点评:本题考查了速度公式的计算,属于常见的考题.
(2)山路上与公路上的总路程除以山路上与公路上总时间即为汽车在这次整个测试中的平均速度.
解答:解:已知:V1=8m/s,t1=500s,V2=20m/s,t2=100s,
(1)根据速度公式得S1=V1tl=8m/s×500s=4000m,
答:汽车在模拟山路上行驶的路程为4000m.
(2)汽车在这次整个测试中的平均速度:
答:汽车在这次整个测试中的平均速度10m/s.
点评:本题考查了速度公式的计算,属于常见的考题.
练习册系列答案
相关题目