题目内容

把一个灯泡接到某电压不变的电源两端,灯泡的功率为100W。将一个电阻R与这只灯泡串联后接到同一电源两端,灯泡的功率为64W,设灯丝电阻不变。则电阻R消耗的功率是 

A. 8W               B. 10W              C. 16W              D. 36W

 

【答案】

C

【解析】

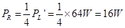
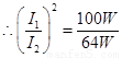
试题分析:设电路中只接一个灯泡时电流为,则,电阻R与灯泡串联时电流为,则

则:    

由于电源电压不变,电流与总电阻成反比,所以  

在串联电路中,则

考点:电功率

 

练习册系列答案
相关题目

违法和不良信息举报电话:027-86699610 举报邮箱:58377363@163.com

精英家教网