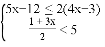
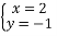
0 330889 330897 330903 330907 330913 330915 330919 330925 330927 330933 330939 330943 330945 330949 330955 330957 330963 330967 330969 330973 330975 330979 330981 330983 330984 330985 330987 330988 330989 330991 330993 330997 330999 331003 331005 331009 331015 331017 331023 331027 331029 331033 331039 331045 331047 331053 331057 331059 331065 331069 331075 331083 366461