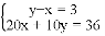
甲、乙两班举行电脑汉字输入比赛,参赛学生每分钟输入汉字个数的统计结果如下表:
班级 | 参加人数 | 平均数 | 中位数 | 方差 |
甲 | 55 | 135 | 149 | 191 |
乙 | 55 | 135 | 151 | 110 |
某同学分析上表后得出如下结论:
①甲、乙两班学生的平均成绩相同;
②乙班优秀的人数多于甲班优秀的人数(每分钟输入汉字≥150个为优秀);
③甲班成绩的波动比乙班大.
上述结论中,正确的是( )
A. ①② B. ②③ C. ①③ D. ①②③
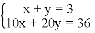
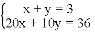
甲、乙两班举行电脑汉字输入比赛,参赛学生每分钟输入汉字个数的统计结果如下表:
班级 | 参加人数 | 平均数 | 中位数 | 方差 |
甲 | 55 | 135 | 149 | 191 |
乙 | 55 | 135 | 151 | 110 |
某同学分析上表后得出如下结论:
①甲、乙两班学生的平均成绩相同;
②乙班优秀的人数多于甲班优秀的人数(每分钟输入汉字≥150个为优秀);
③甲班成绩的波动比乙班大.
上述结论中,正确的是( )
A. ①② B. ②③ C. ①③ D. ①②③