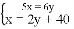
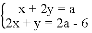
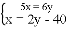
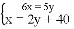
0  328407  328415  328421  328425  328431  328433  328437  328443  328445  328451  328457  328461  328463  328467  328473  328475  328481  328485  328487  328491  328493  328497  328499  328501  328502  328503  328505  328506  328507  328509  328511  328515  328517  328521  328523  328527  328533  328535  328541  328545  328547  328551  328557  328563  328565  328571  328575  328577  328583  328587  328593  328601  366461 

违法和不良信息举报电话:027-86699610 举报邮箱:58377363@163.com

精英家教网