已知一元二次方程x2﹣3x﹣6=0有两个实数根x1、x2,直线l经过点A(x1+x2,0)、B(0,x1•x2),则直线l不经过第________象限.
“同位角相等”的逆命题是______________________.
如图,⊙O的直径AB与弦CD相交于点E,AB=5,AC=3,则tan∠ADC =_______.
已知抛物线y=-x2-2x+3,当-2≤x≤2时,对应的函数值y的取值范围为____________ .
如图,Rt△ABC中,∠BAC=90°,将△ABC绕点C逆时针旋转,旋转后的图形是△A′B′C,点A的对应点A′落在中线AD上,且点A′是△ABC的重心,A′B′与BC相交于点E,那么BE:CE= .
如图,在平面直角坐标系中,边长不等的正方形依次排列,每个正方形都有一个顶点落在函数y=x的图象上,从左向右第3个正方形中的一个顶点A的坐标为(8,4),阴影三角形部分的面积从左向右依次记为S1,S2,S3,…,Sn,则Sn的值为____________(用含n的代数式表示,n为正整数).
(1)计算:
(2)化简:.
(1)解方程:
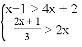
(2)解不等式组:
已知:如图,平行四边形 ABCD中,O是CD的中点,连接AO并延长,交BC的延长线于点E.
(1)求证:△AOD ≌ △EOC;
(2)连接AC,DE,当∠B∠AEB _______ °时,四边形ACED是正方形?请说明理由.
初二年级教师对试卷讲评课中学生参与的深度与广度进行评价调查,其评价项目为主动质疑、独立思考、专注听讲、讲解题目四项.评价组随机抽取了若干名初二学生的参与情况,绘制成如图所示的频数分布直方图和扇形统计图(均不完整),请根据图中所给信息解答下列问题:
(1)在这次评价中,一共抽查了 名学生;
(2)在扇形统计图中,项目“主动质疑”所在的扇形的圆心角的度数为 度;
(3)请将频数分布直方图补充完整;
(4)如果全市有6000名初二学生,那么在试卷评讲课中,“独立思考”的初二学生约有多少人?