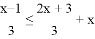
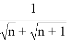
0  316947  316955  316961  316965  316971  316973  316977  316983  316985  316991  316997  317001  317003  317007  317013  317015  317021  317025  317027  317031  317033  317037  317039  317041  317042  317043  317045  317046  317047  317049  317051  317055  317057  317061  317063  317067  317073  317075  317081  317085  317087  317091  317097  317103  317105  317111  317115  317117  317123  317127  317133  317141  366461 

违法和不良信息举报电话:027-86699610 举报邮箱:58377363@163.com

精英家教网