搜索
题目内容
有这样一道题,“计算
的值,其中x=2008”,甲同学把“x=2008”错抄成“x=2080”,但是他的计算结果也是正确的,你说这是怎么回事呢.
试题答案
相关练习册答案
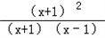
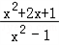
解:因为y=
÷
-x
=
·
-x
=x-x=0.
所以无论x取2008或者是2080,y的值都是零。
练习册系列答案
轻巧夺冠周测月考直通中考系列答案
状元成才路创优作业100分系列答案
学习方法报系列答案
名师课堂一练通系列答案
金榜名卷六合一系列答案
达标金卷系列答案
每日精练系列答案
天天成长好题真卷系列答案
上海名校名卷系列答案
金试卷一卷夺冠系列答案
相关题目
有这样一道题:“计算:
(1-
2
x+1
)÷
x-1
x
2
+x
-x+5
的值,其中x=2005”,一同学通过计算指出,题目中所给的条件“x=2005”是多余的.他的说法有道理吗?为什么?
23、有这样一道题:“计算代数式6x
2
-5y+7的值,其中x=-2,y=1”,王方把“x=-2”抄成“x=2”,但计算的结果也是正确的,你说这是怎么回事?
有这样一道题:“计算:
x
2
-2x+1
x
2
-1
÷
x-1
x
2
+x
-x
的值,其中x=2007.”甲同学把“x=2007”错抄成“x=2070”,但他的计算结果也是正确的.你说这是怎么回事?
有这样一道题:“计算:
x
2
-2x+1
x
2
-1
÷
x-1
x
2
+x
-x
的值,其中x=2012.”甲同学把“x=2012”错抄成“x=2021”,但他的计算结果也是正确的.这是怎么回事?你能给予合理的解释吗?
有这样一道题,计算(2x
4
-4x
3
y-x
2
y
2
)-2(x
4
-2x
3
y-y
3
)+x
2
y
2
的值,其中x=0.25,y=-1;甲同学把“x=0.25”,错抄成“x=-0.25”,但他的计算结果也是正确的,你说这是为什么?
关 闭
试题分类
高中
数学
英语
物理
化学
生物
地理
初中
数学
英语
物理
化学
生物
地理
小学
数学
英语
其他
阅读理解答案
已回答习题
未回答习题
题目汇总
试卷汇总
练习册解析答案