题目内容
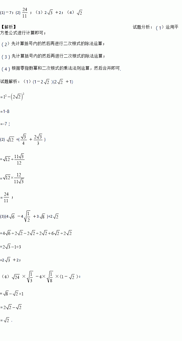
计算:
(1)(1-2)(2+1); (2) ÷(+);
(3)(4-4+3)÷2; (4) ×-4××(1-)0.
如图,△ABC中,∠C=90°,D是AC的中点,求证:AB2+3BC2=4BD2.
在△ABC中,AB=AC=2,∠A=150°,那么半径长为1的⊙B和直线AC的位置关系是( )
A. 相离 B. 相切 C. 相交 D. 无法确定
如图,直线y=-x+m与y=nx+4n(n≠0)的交点的横坐标为-2,则关于x的不等式-x+m>nx+4n>0的整数解为( )
A. -1 B. -5 C. -4 D. -3
若函数有意义,则( )
A. x>1 B. x<1 C. x=1 D. x≠1
计算:6-(+1)2=_____.
化简 (+2)的结果是( )
A. 2+2 B. 2+ C. 4 D. 3
若与可以合并,则m的最小正整数值是( )
A. 18 B. 8 C. 4 D. 2
如图,在Rt△AOB中,∠O=90°,∠ABO=30°,以点A为旋转中心,把△ABO顺时针旋转得△ACD(D点未画出),当旋转后满足BC//OA时,旋转角的大小为( )
A. 75° B. 60° C. 45° D. 30°