题目内容
如图,已知△ABC中,AB=AC,BD、CE是高,BD与CE相交于点O,
(1)求证:OB=OC
(2)如果∠ABC=50o,求∠BOC的度数。
![]()
练习册系列答案
相关题目
15.
将一个含45°角的三角板ABC如图摆放在平面直角坐标系中,将其绕点C顺时针旋转75°,点B的对应点B′恰好落在x轴上,若点C的坐标为(1,0),则点B′的坐标为(1+$\sqrt{2}$,0).
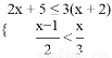
小明用下面的方法求出方程
的解,请你仿照他的方法求出下面另外两个方程的解,并把你的解答过程填写在下面的表格中.>
方程 | 换元法得新方程 | 解新方程 | 检验 | 求原方程的解 |
| 令 则 |
|
|
所以 |
| ||||
|