题目内容
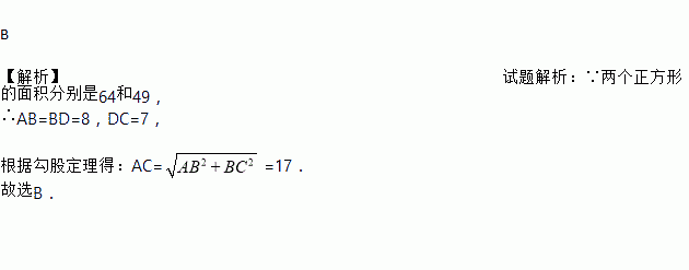
如图,两个正方形的面积分别为64和49,则等于( )
A. 15 B. 17 C. 23 D. 113
如图所示的两架天平保持平衡,且每块巧克力的质量相等,每个果冻的质量也相等,则一块巧克力的质量是________g.
解不等式:
如图,等腰直角三角形中, =4 cm.点是边上的动点,以为直角边作等腰直角三角形.在点从点移动至点的过程中,点移动的路线长为_________cm.
计算的结果是____________.
计算的结果是( )
A. ±3 B. 3 C. ﹣3 D.
元旦某班班主任购买了一批贺卡准备送给学生,若每人三张,那么还余59张;若每人5张,那么最后一个学生分到贺卡,但不足四张.班主任购买的贺卡共_____________张.
如图,直线AB、CD相交于点平分,且,求的度数.
下列算式中,你认为错误的是( )
A. =1 B.
C. D.