题目内容
如图,等腰直角三角形中, =4 cm.点是边上的动点,以为直角边作等腰直角三角形.在点从点移动至点的过程中,点移动的路线长为_________cm.
若存在过点的直线l与曲线和都相切,则a的值为
A. 1 B. C. 1或 D. 1或
如图,阴影部分组成的图案既是关于x轴成轴对称的图形又是关于坐标原点O成中心对称的图形.若点A的坐标是(1,3),则点M和点N的坐标分别是( )
A.M(1,-3),N(-1,-3) B.M(-1,-3),N(-1,3)
C.M(-1,-3),N(1,-3) D.M(-1,3),N(1,-3)
解不等式:2x-3≥x
把由5个小正方形组成的十字形纸板(如图)剪开,使剪成的若干块能够拼成一个大正方形:
(1)如果剪4刀,应如何剪?
(2)最少只需剪 刀?应如何剪?
黑板上写着,那么正对着黑板的镜子里的像是_________.
如图,两个正方形的面积分别为64和49,则等于( )
A. 15 B. 17 C. 23 D. 113
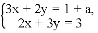
若关于x,y的二元一次方程组的解满足x+y<2,则a的取值范围为_____________.
如图,在等边三角形ABC的三边上,分别取点D.E.F,使得△DEF为等边三角形,求证:AD=BE=CF.