题目内容
分解因式:(1)(x2+y2)2-4x2y2 ;(2)12ab-6(a2+b2)
在函数中,自变量x的取值范围是 .
如图,在Rt△ABC中,∠ACB=90°,点D,E分别在AB,AC上,CE=BC,连接CD,将线段CD绕点C按顺时针方向旋转90°后得CF,连接EF. 若EF∥CD,求证:∠BDC=90°.
不等式组的解集是( )
A. x<3 B. 3<x<4 C. x<4 D. 无解
若x2+px+q与x2-3x+2的乘积中不含x3项和x2项.求p、q的值.
如图:宽为50厘米的大长方形由10个相同的小长方形拼成,则每个小长方形的面积为_____
若a+b=3,ab=1,则2a2+2b2的值为( )
A. 7 B. 10
C. 12 D. 14
计算:|-1|-=___________.
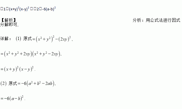
计算下列各式:
(1) (2)