题目内容
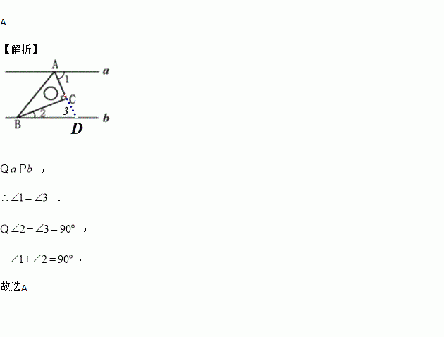
如图,在平行线a、b之间放置一块直角三角板,三角板的顶点A、B分别在直线a,b上,则∠1+∠2=( )
A. 90° B. 85° C. 80° D. 60°
如图所示,下列说法不正确的是
A. 与是同位角
B. 与是同位角
C. 与是同位角
D. 与是同位角
某校篮球队五名主力队员的身高分别是174,179,180,174,178(单位:cm),则这五名队员身高的中位数是( )
A.174cm B.177cm C.178cm D.180cm
如图,若?ABCD的周长为36cm,过点D分别作AB,BC边上的高DE,DF,且DE=4cm,DF=5cm,?ABCD的面积为 cm2.
如图,AB是⊙O的直径,==,∠COD=34°,则∠AEO的度数是( )
A.51° B.56° C.68° D.78°
由于过度采伐森林和破坏植被,我国部分地区频频遭受沙尘暴侵袭.近日A城气象局测得沙尘暴中心在A城的正西方向240km的B处(如图),以每小时12km的速度向北偏东60°方向移动.距沙尘暴中心150km的范围为受影响区域.
(1)A城是否受到这次沙尘暴的影响?为什么?
(2)若A城受这次沙尘暴的影响,那么A城遭受沙尘暴的影响时间有多长?
如图,△AOB中,∠AOB=90°,AO=3,BO=6,△AOB绕顶点O逆时针旋转到△A′OB′处,此时线段A′B′与BO的交点E为BO的中点,则线段B′E的长度为 .
以下列各组数为边长,能够成直角三角形的是( )
A. 1,2,3 B. ,, C. ,, D. 3,4,5
一个一元二次方程,两根分别为2和﹣3,这个方程可以是________.