题目内容
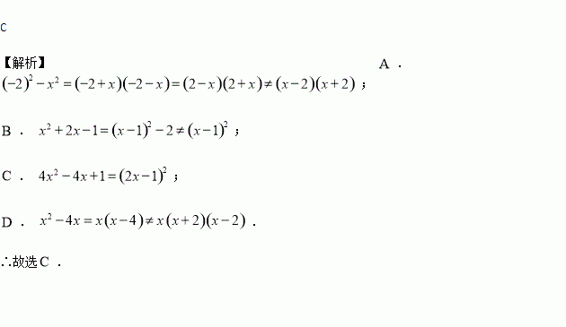
下列因式分解中,结果正确的是( ).
A. B.
C. D.
某超市在春节期间对顾客实行优惠,规定如下:
(1)王老师一次性购物600元,他实际付款 元.
(2)若顾客在该超市一次性购物x元,当x小于500元但不小于200时,他实际付款 元,当x大于或等于500元时,他实际付款 元.(用含x的代数式表示).
(3)如果王老师两次购物货款合计820元,第一次购物的货款为a元(200<a<300),用含a 的代数式表示两次购物王老师实际付款多少元.
如图,在Rt△AOB中,两直角边OA、OB分别在x轴的负半轴和y轴的正半轴上,将△AOB绕点B逆时针旋转90°后得到△A′O′B.若反比例函数y=的图象恰好经过斜边A′B的中点C,S△ABO=4,tan∠BAO=2,则k的值为( )
A. 3 B. 4 C. 6 D. 8
已知为等边三角形, 为其内一点,且, , ,则的边长为__________.
如图所示,底边为,顶角为的等腰中, 垂直平分于,则的周长为( ).
A. B. C. D.
已知:线段AB=5cm,延长AB到c,使AC=7cm,在AB的反向延长线上取点D,使BD=4BC,设线段CD的中点为E.问线段AE是线段CD的几分之一?并说出你的理由.
A看B的方向是北偏东21°,那么B看A的方向是___________.
已知,如图,B,C两点把线段AD分成2:5:3三部分,M为AD的中点,BM=6cm,求CM和AD的长.
关于的一元二次方程有实数根,则( )
A. <0 B. >0 C. ≥0 D. ≤0