题目内容
已知b<a<0,且![]()
________.
![]()
解析试题分析:由
得到
,把它看作为a的一元二次方程,利用求根公式得到a、b的关系,再结合b<a<0,即可求得结果.
由
得到![]()
![]()
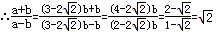
∵b<a<0,![]()
![]()
∴![]()
.
考点:解一元二次方程-公式法
点评:解题的关键是熟记一元二次方程
的求根公式![]()
练习册系列答案
相关题目
题目内容
已知b<a<0,且![]()
________.
![]()
解析试题分析:由
得到
,把它看作为a的一元二次方程,利用求根公式得到a、b的关系,再结合b<a<0,即可求得结果.
由
得到![]()
![]()
∵b<a<0,![]()
![]()
∴![]()
.
考点:解一元二次方程-公式法
点评:解题的关键是熟记一元二次方程
的求根公式![]()