题目内容
(11·西宁)如图7,将直角三角形的直角顶点放在直尺的一边上,∠1=30°,∠3=20°,则∠2=_ ▲ .
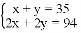
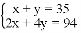
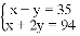
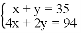
“今有鸡兔同笼,上有三十五头,下有九十四足,问鸡兔各几何?”设鸡为x只,兔为y只,则所列方程组正确的是( )
A. B. C. D.
如图,在边长为2的菱形ABCD中,∠A=60°,点M是AD边的中点,连接MC,将菱形ABCD翻折,使点A落在线段CM上的点E处,折痕交AB于点N,则线段EC的长为_____.
两个三角板ABC,DEF按如图所示的位置摆放,点B与点D重合,边AB与边DE在同一条直线上(假设图形中所有的点、线都在同一平面内),其中,∠C=∠DEF=90°,∠ABC=∠F=30°,AC=DE=4 cm.现固定三角板DEF,将三角板ABC沿射线DE方向平移,当点C落在边EF上时停止运动.设三角板平移的距离为(cm),两个三角板重叠部分的面积为 (cm2).
(1)当点C落在边EF上时,=________cm;
(2)求关于的函数表达式,并写出自变量的取值范围;
(3)设边BC的中点为点M,边DF的中点为点N,直接写出在三角板平移过程中,点M与点N之间距离的最小值.
(1). (2)解方程:
如图,在△ABC中,∠C=45°,AB的垂直平分线交AB于点E,交BC于点D;AC的垂
直平分线交AC于点G,交BC与点F,连接AD、AF,若AC=,BC=9,则DF等于( )
A. B. C. 4 D.
中国幅员辽阔,陆地面积约为960万平方公里,“960万”用科学记数法表示为( )
在,,π,,0,,,0.373773这八个数中,无理数有( )
A. 2个 B. 3个 C. 4个 D. 5个
已知,CD是△ABC的高,且∠BCD=∠CAD,若CD=,AC=,则AB的长为_________。