题目内容
如图,OP=1,过P作PP1⊥OP且PP1=1,得OP1=
;再过P1作P1P2⊥OP1且P1P2=1,得OP2=
;又过P2作P2P3⊥OP2且P2P3=1,得OP3=2;…依此法继续作下去,得OP2017=_______.
![]()
练习册系列答案
相关题目
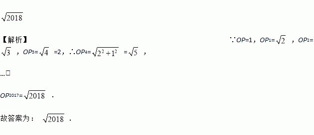
题目内容
如图,OP=1,过P作PP1⊥OP且PP1=1,得OP1=
;再过P1作P1P2⊥OP1且P1P2=1,得OP2=
;又过P2作P2P3⊥OP2且P2P3=1,得OP3=2;…依此法继续作下去,得OP2017=_______.
![]()