搜索
题目内容
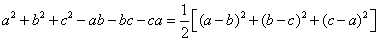
已知a-b=
,b-c=
,求a
2
+b
2
+c
2
-ab-bc-ca的值。
试题答案
相关练习册答案
解:∵
,
∴
即
∴
=
=
。
练习册系列答案
启东黄冈作业本系列答案
学霸甘肃少年儿童出版社系列答案
红对勾45分钟作业与单元评估系列答案
重难点手册系列答案
创维新课堂系列答案
世纪百通主体课堂小学课时同步达标系列答案
世纪百通优练测系列答案
世纪百通课时作业系列答案
百分学生作业本题练王系列答案
小学1课3练培优作业本系列答案
相关题目
4、如图为某班35名学生在某次社会实践活动中拣废弃的矿泉水瓶情况条形统计图,图中上面部分数据破损导致数据不完全.已知此次活动中学生拣到矿泉水瓶个数中位数是5个,则根据统计图,下列选项中的( )数值无法确定.
A、拣到3个矿泉水瓶以下(含3个球)的人数
B、拣到4个矿泉水瓶以下(含4个球)的人数
C、拣到5个矿泉水瓶以下(含5个球)的人数
D、拣到6个矿泉水瓶以下(含6个球)的人数
已知c<0,0<|a|<|b|<|c|,
b
2
c
a
=-
b
a
ac
,则a、b、c由小到大的顺序排列
.
如图,已知矩形ABCD,OA与x轴正半轴夹角为60°,点A的横坐标为2,点C的横坐标为
-
3
2
,则点B的坐标为
.
已知方程组
x+y=2
y+z=3
z+x=7
,则x+y+z等于
.
已知实数a、b(a≠b)分别满足a
2
+2a=2,b
2
+2b=2.求
1
a
+
1
b
的值.
关 闭
试题分类
高中
数学
英语
物理
化学
生物
地理
初中
数学
英语
物理
化学
生物
地理
小学
数学
英语
其他
阅读理解答案
已回答习题
未回答习题
题目汇总
试卷汇总
练习册解析答案