题目内容
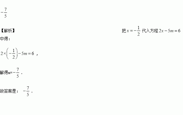
若是方程的解,则的值为_______
如图,抛物线y=ax2+bx+c交x轴于(﹣1,0)、(3,0)两点,以下四个结论正确的是(用序号表示)______________.
(1)图象的对称轴是直线 x=1
(2)当x>1时,y随x的增大而减小
(3)一元二次方程ax2+bx+c=0的两个根是﹣1和3
(4)当﹣1<x<3时,y<0.
如果方程的解与方程4x-(3a+1)=6x+2a-1的解相同, 求式子的值.
下列算式中,结果是正数的是( )
A. -[-(-3)] B. -|-(-3)|3
C. -(-3)2 D. -32×(-2)3
先化简,再求值: 其中,.
若方程是关于x的一元一次方程,则的值是
A. B. C. D.
如图所示的运算程序中,若开始输入的x值为15,则第1次输出的结果为18,第2次输出的结果为9,···,第2017次输出的结果为( )
A. 3 B. 18 C. 12 D. 6
菱形ABCD,∠BAD=120°,且AB=3,则BD=_____
如图:点P是四边形ABCD外接圆⊙O上的任意一点,且不与四边形顶点重合,若AD是⊙O的直径,AB=BC=CD,连接PA,PB,PC,若PA= ,求点A到PB和PC的距离之和AE+AF是多少?