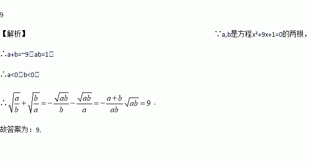
题目内容
若是方程的两根,则=________
(本题满分6分)如图,一次函数y=kx+b的图像与反比例函数y=的图像相交于A、B两点.
(1)利用图中条件,求反比例函数和一次函数的解析式;
(2)根据图像写出使一次函数的值小于反比例函数的值的x的取值范围.
(3)求出△AOB的面积。
如图,AB∥CD,AD=CD,∠1=70°,则∠2的度数是( )
A. 20° B. 35° C. 40° D. 70°
如图,△ABC和△DEF是两个全等的等腰直角三角形,∠BAC=∠EDF=90°,△DEF的顶点E与△ABC的斜边BC的中点重合.将△DEF绕点E旋转,旋转过程中,线段DE与线段AB相交于点P,线段EF与射线CA相交于点Q.
(1)如图①,当点Q在线段AC上,且AP=AQ时,求证:△BPE≌△CQE;
(2)如图②,当点Q在线段CA的延长线上时,求证:△BPE∽△CEQ;并求当BP= ,CQ= 时,P、Q两点间的距离 (用含的代数式表示).
如图,在平面直角坐标系中,点A,B的坐标分别为(0,3)和(9,0),若坐标轴上存在点C,使△OBC和△OAB相似,则点C的坐标是___________.
已知关于x的一元二次方程(a﹣1)x2﹣2x+1= 0有两个不相等的实数根,则a的取值范围是( )
A. a>2 B. a <2 且a ≠ l C. a <2 D. a <﹣2
使代数式有意义的x的取值范围是( )
A. B. C. 且 D. 一切实数
如图,边长为6的大正方形中有两个小正方形,若两个小正方形的面积分别为S1和S2,比较S1与S2的大小( )
A. S1>S2 B. S1=S2 C. S1<S2 D. 不能确定
为落实“垃圾分类”,环卫部门要求垃圾要按A,B,C三类分别装袋,投放,其中A类指废电池,过期药品等有毒垃圾,B类指剩余食品等厨余垃圾,C类指塑料,废纸等可回收垃圾.甲投放了一袋垃圾,乙投放了两袋垃圾,这两袋垃圾不同类.
(1)直接写出甲投放的垃圾恰好是A类的概率;
(2)求乙投放的垃圾恰有一袋与甲投放的垃圾是同类的概率.