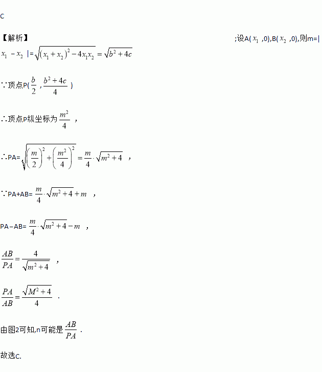
题目内容
如图1,抛物线y=-x2+bx+c的顶点为P,与x轴交于A,B两点.若A,B两点间的距离为m,n是m的函数,且表示n与m的函数关系的图象大致如图2所示,则n可能为( )
![]()
A. PA+AB B. PA-AB C.
D. ![]()
练习册系列答案
相关题目
题目内容
如图1,抛物线y=-x2+bx+c的顶点为P,与x轴交于A,B两点.若A,B两点间的距离为m,n是m的函数,且表示n与m的函数关系的图象大致如图2所示,则n可能为( )
![]()
A. PA+AB B. PA-AB C.
D. ![]()