搜索
题目内容
计算:
(1)(a+2)(a-2)-a(a-1)
(2)已知
,求
的值.
(3)已知
,求
的值.
试题答案
相关练习册答案
(1)解:原式=
=
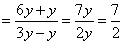
(2)解:原式
由
得
所以,原式
(3)解:
当
时,
.原式
练习册系列答案
1加1阅读好卷系列答案
专项复习训练系列答案
初中语文教与学阅读系列答案
阅读快车系列答案
完形填空与阅读理解周秘计划系列答案
英语阅读理解150篇系列答案
奔腾英语系列答案
标准阅读系列答案
53English系列答案
考纲强化阅读系列答案
相关题目
在“3.15”消费者权益日的活动中,对甲、乙两家商场售后服务的满意度进行了抽查.如图反映了被抽查用户对两家商场售后服务的满意程度(以下称:用户满意度),分为很不满意、不满意、较满意、很满意四个等级,并依次记为1分、2分、3分、4分.
(1)请问:甲商场的用户满意度分数的众数为
;乙商场的用户满意度分数的众数为
.
(2)分别求出甲、乙两商场的用户满意度分数的平均值.(计算结果精确到0.01)
(3)请你根据所学的统计知识,判断哪家商场的用户满意度较高,并简要说明理由.
1、计算:-|-2|=( )
A、2
B、-2
C、±2
D、0
1、计算:-5
2
=( )
A、-10
B、10
C、-25
D、25
20、计算:-3x•(2x
2
-x+4)=
-6x
3
+3x
2
-12x
;(2a-b)
(2a+b)
=4a
2
-b
2
.
计算:2
-1
+(π-1)
0
=
.
关 闭
试题分类
高中
数学
英语
物理
化学
生物
地理
初中
数学
英语
物理
化学
生物
地理
小学
数学
英语
其他
阅读理解答案
已回答习题
未回答习题
题目汇总
试卷汇总
练习册解析答案