题目内容
已知方程x+(c是常数,c≠0)的解是c或,那么方程x+ (a是常数,且a≠0)的解是_____或_____.
如图,Rt△ABC中,AB=AC=4,以AB为直径的圆交AC于D,则图中阴影部分的面积为( )
A. 2 B. +1 C. +2 D. 4+
先化简,再求代数式的值,其中x=4cos45°﹣2sin30°.
已知平面直角坐标系中两定点A(﹣1,0)、B(4,0),抛物线y=ax2+bx﹣2(a≠0)过点A,B,顶点为C,点P(m,n)(n<0)为抛物线上一点.
(1)求抛物线的解析式和顶点C的坐标;
(2)当∠APB为钝角时,求m的取值范围;
(3)若m>,当∠APB为直角时,将该抛物线向左或向右平移t(0<t<)个单位,点C、P平移后对应的点分别记为C′、P′,是否存在t,使得首位依次连接A、B、P′、C′所构成的多边形的周长最短?若存在,求t的值并说明抛物线平移的方向;若不存在,请说明理由.
如图△ABC中,∠C=90°,AC=8cm,AB的垂直平分线MN交AC于D,连接BD,若cos∠BDC=,则BC的长为_____.
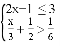
不等式组的解集在数轴上表示正确的是( )
A. B. C. D.
下列说法不正确的是( )
A. 0既不是正数,也不是负数 B. 绝对值最小的数是0
C. 绝对值等于自身的数只有0和1 D. 平方等于自身的数只有0和1
已知一个圆锥的三视图如图所示,则这个圆锥的侧面积为( )
A. 12π cm2 B. 15π cm2 C. 24π cm2 D. 30π cm2
因式分【解析】
(1);
(2)