题目内容
计算:
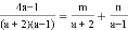
若,则2+n2=____________
先化简,再求值:,其中x是不等式组的整数解.
化简-的结果是( )
A. x+1 B. C. x-1 D.
如图,已知Rt△ABC中,C=90°,O在AC上,以OC为半径作⊙O,切AB于D点,且BC=BD.
(1)求证:AB为⊙O的切线;
(2)若BC=6,sinA=,求⊙O的半径;
(3)在(2)的条件下,P点在⊙O上为一动点,求BP的最大值与最小值.
如图,已知∠ACD=∠BCE,AC=DC,如果要得到△ACB≌△DCE,那么还需要添加的条件是______.(填写一个即可,不得添加辅助线和字母)
如图,在平面直角坐标系中,△ABC的顶点都在方格纸的格点上,如果将△ABC先向右平移4个单位长度,在向下平移1个单位长度,得到△,那么点A的对应点的坐标为( )
A. (4,3) B. (2,4) C. (3,1) D. (2,5)
分式和的最简公分母是____________.
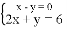
方程组的解是______ .