题目内容
如图,已知∠ACD=∠BCE,AC=DC,如果要得到△ACB≌△DCE,那么还需要添加的条件是______.(填写一个即可,不得添加辅助线和字母)
下列各式中中分式有__________个.
定义新运算:对于任意实数a,b(其中a≠0),都有ab=,等式右边是通常的加法、减法及除法运算,比如:21==0.若x2=1(其中x≠0),则x的值是________.
下列各式中:①-;②;③;④;⑤;⑥x+y.是分式的是( )
A. ①③④⑥ B. ①③⑤ C. ①③④⑤ D. ③⑤⑥
计算:
下列各图中,既可经过平移,又可经过旋转,由图形①得到图形②的是( )
A. B. C. D.
如图所示的几何体的俯视图是( )
分式方程=的解是( )
A. x=-1 B. x=1 C. x=2 D. 无解
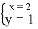
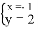
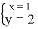
方程组的解是( )