题目内容
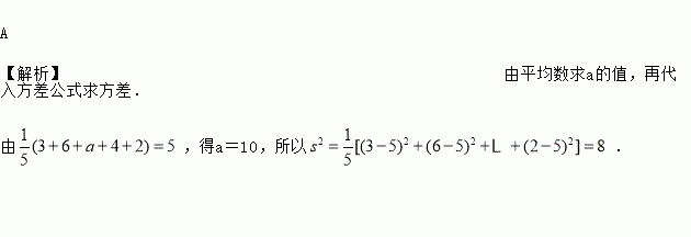
样本数据3,6,a,4,2的平均数是5,则这个样本的方差是( )
A.8
B.6
C.3
D.
如图,将△AOB绕点O按逆时针方向旋转45°后得到△A'OB',若∠AOB=15°,则∠AOB'的度数是( )
A.25° B.30° C.35° D. 40°
实数a在数轴上的位置如图所示,则化简后为( )
A. 7 B. ﹣7 C. 2a﹣15 D. 无法确定
已知一个半圆形工件,未搬动前如图所示,直径平行于地面放置,搬动时为了保护圆弧部分不受损伤,先将半圆作如图所示的无滑动翻转,使它的直径紧贴地面,再将它沿地面平移50米,半圆的直径为4米,则圆心O所经过的路线长是___ ______.
如下表,从左到右在每个小格子中都填入一个整数,使得其中任意三个相邻格子中所
填整数之和都相等,则第2018个格子中的数为( )
3
a
b
c
﹣1
2
…
A. 3 B. 2 C. 0 D. ﹣1
细心观察下图,认真分析各式,然后解答问题.
()2+1=2,S1=;
()2+1=3,S2=;
()2+1=4,S3=.
(1)请用含n(n是正整数)的等式表示上述式子的变化规律;
(2)推算出OA10的长;
(3)求出S12+S22+S32+…+S102的值.
对于非零的两个实数a,b,规定a⊕b=am-bn.若3⊕(-5)=15,4⊕(-7)=28,则(-1)⊕2的值为________.
3的算术平方根是( )
A. ± B. C. ﹣ D. 9
计算:(+1)(﹣1)=________.