题目内容
如图,已知,80º,120º,则 __________°.
如图,菱形ABCD的对角线AC、BD相交于点O,E为AD的中点,若OE=5,BC等于______.
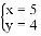
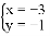
已知方程组,甲由于看错了方程①中的a,得到方程组的解为乙由于看错了方程②中的b,得到方程组的解为,若按正确的a,b计算,求原方程组的解.
下列多项式:①16x5-x;②(x-1)2-4(x-1)+4;③(x+1)4-4x(x+1)2+4x2;④-4x2-1+4x,分解因式后,结果含有相同因式的是( )
A. ①④ B. ②④ C. ③④ D. ②③
一只蚂蚁在一个半圆形的花坛的周边寻找食物,如图1,蚂蚁从圆心O出发,按图中箭头所示的方向,依次爬完下列三条线路:(1)线段OA、(2)半圆弧AB、(3)线段BO后,回到出发点。已知蚂蚁在爬行过程中保持匀速,且在寻找到食物后停下来吃了2分钟。蚂蚁离出发点的距离s(蚂蚁所在位置与O点之间线段的长度)与时间t之间的图象如图2所示,问:
(1)花坛的半径是_______米,蚂蚁是在上述三条线路中的哪条上寻找到了食物_________(填(1)、(2)、或(3));
(2)蚂蚁的速度是_______米/分钟;
(3)蚂蚁从O点出发,直到回到O点,一共用时多少分钟?()
=( )
A. B. C. D.
如果一个角的补角是150°,那么这个角的余角的度数是( )
A. 30° B. 120° C. 90° D. 60°
如果最简二次根式与是同类二次根式,则a=______.
A.B两地之间有一条笔直的公路,甲车从A地出发匀速向B地行驶,中途因有事停留了1小时后按原速驶向B地;在甲车出发的同时乙车从B地出发匀速向A地行驶,到达A地后,立即按原路原速返回到B地。两车在行驶的过程中,甲乙两车距A地的路程y(千米)与行驶时间x(小时)之间的函数关系式如图所示,请结合图像回答下列问题:
(1)在图像的(_____)中填入正确的数值
(2)求甲车在中途因事停留后驶向B地过程中,y与x之间的函数关系式
(3)直接写出:乙车从A地出发多少小时后,甲.乙两车分别到甲车中途停留地的距离相等?