题目内容
点P(-2,1)关于x轴的对称点的坐标为( )
A. (2,1) B. (-2,-1)
C. (2,-1) D. (1,-2)
下列图形中,由∠1=∠2≠90°,能得到AB∥CD的是( )
A. B. C. D.
在平面直角坐标系中,已知一次函数y=2x+1的图象经过P1(x1,y1)、P2(x2,y2)两点,若x1<x2,则y1 ______ y2.(填“>”“<”或“=”)
五一期间,小明一家一起去旅游,如图是小明设计的某旅游景点的图纸(网格是由相同的小正方形组成的,且小正方形的边长代表实际长度100m),在该图纸上可看到两个标志性景点A,B.若建立适当的平面直角坐标系,则点A(-3,1),B(-3,-3),第三个景点C(3,2)的位置已破损.
(1)请在图中标出景点C的位置;
(2)小明想从景点B开始游玩,途经景点A,最后到达景点C,求小明一家最短的行走路程(参考数据:≈6,结果保留整数).
如图是某校的平面示意图的一部分,若用“(0,0)”表示图书馆的位置,“(0,-3)”表示校门的位置,则教学楼的位置可表示为
下面是王老师在数学课堂上给同学们出的一道数学题,要求对以下实数进行分类填空:
-,0,,,18,,,-0.56,3.14159,,,,0.8080080008…,-.
(1)有理数集合:________________________________________________________________________;
(2)无理数集合:________________________________________________________________________;
(3)非负整数集合:________________________________________________________________________;
(4)分数集合:________________________________________________________________________.
已知a=+1,b=﹣1,则a2+b2的值为( )
A. 4 B. 6 C. 3﹣2 D. 3+2
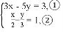
解下列方程组:
(1) (2)
某中学八(1)班5名学生某次数学测验的成绩分别为80分,90分,100分,x分,120分,若这5名学生的平均成绩为102分,求x的值.