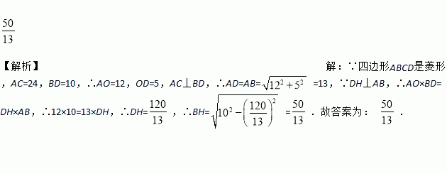
题目内容
如图,四边形ABCD是菱形,AC=24,BD=10,DH⊥AB于点H,则线段BH的长为______.
方程-x2+3x=1用公式法求解,先确定a,b,c的值,正确的是( )
A. a=-1,b=3,c=-1 B. a=-1,b=3,c=1
C. a=-1,b=-3,c=-1 D. a=1,b=-3,c=-1
解方程:2(x﹣3)2=x2﹣9.
一元二次方程x2﹣4x=12的根是( )
A. x1=2,x2=﹣6 B. x1=﹣2,x2=6 C. x1=﹣2,x2=﹣6 D. x1=2,x2=6
如图所示,已知四边形ABCD,ADEF都是菱形,∠BAD=∠FAD,∠BAD为锐角.
(1)求证:AD⊥BF;
(2)若BF=BC,求∠ADC的度数.
下列性质中,菱形对角线不具有的是( )
A. 对角线互相垂直 B. 对角线所在直线是对称轴
C. 对角线相等 D. 对角线互相平分
解方程:
在我国南海某海域探明可燃冰储量约有194亿立方米.194亿用科学记数法表示为( )
A. B. C. D.
已知函数y=(m+1)是反比例函数,则m的值为 .