题目内容
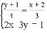
根据以下对话,可以求得小红所买的笔和笔记本的价格分别是( )
A. 0.8元/支,2.6元/本 B. 0.8元/支,3.6元/本
C. 1.2元/支,2.6元/本 D. 1.2元/支,3.6元/本
某一空间图形的三视图如右图所示, 其中主视图:半径为1的半圆以及高为1的矩形; 左视图:半径为1的圆以及高为1的矩形; 俯视图:半径为1的圆. 求此图形的体积.
⊙O的半径为5,圆心O的坐标为(0,0),点P的坐标为(4,2),则点P与⊙O的位置关系是 ( )
A. 点P在⊙O内 B. 点P在⊙O上 C. 点P在⊙O外 D. 点P在⊙O上或⊙O外
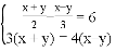
用适当的方法解下列方程组:
(1)解方程组;(2).
与已知二元一次方程5x-y=2组成的方程组有无数多个解的方程是( )
A、10x+2y=4 B、4x-y=7 C、20x-4y=3 D、15x-3y=6
如图,点O是线段AB上的一点,OA=OC,OD平分∠AOC交AC于点D,OF平分∠COB,CF⊥OF于点F.
(1)求证:四边形CDOF是矩形;
(2)当∠AOC多少度时,四边形CDOF是正方形?并说明理由.
下列命题中,真命题是 ( )
A. 对角线相等的四边形是矩形 B. 对角线亘相平分的四边形是平行四边形
C. 对角线互相垂直的四边形是菱形 D. 对角线互相垂直平分的四边形是正方形
如图,AB是⊙O的直径,点C在AB的延长线上,CD切⊙O于点D,连接AD.若∠A=25°,则∠C= 度.
-4的倒数是 .