题目内容
以方程组的解为坐标的点(x,y)在平面直角坐标系中的位置是( )
A. 第一象限 B. 第二象限 C. 第三象限 D. 第四象限
一个工程队原定在10天内至少要挖土600m3,在前两天一共完成了120m3,由于整个工程调整工期,要求提前两天完成挖土任务.问以后几天内,平均每天至少要挖土多少m3?
已知正实数a,满足a﹣=,则a+=_____.
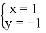
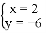
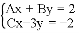
甲、乙两人共同解方程组,甲正确解得,乙抄错C,解得,求A,B,C的值.
方程组的解满足方程x+y+a=0,那么a的值是( )
A. 0 B. -2 C. 1 D. -1
用代入消元法解方程组 以下各式正确的是( )
A. 3(1-2y)+5y=2 B. 3(1+2y)+5y=2
C. 3-2y+5y=2 D. 1-3×2y+5y=2
如图,在平行四边形ABCD中,∠B=30°,AB=AC,O是两条对角线的交点,过点O作AC的垂线分别交边AD,BC于点E,F;点M是边AB的一个三等分点。则△AOE与△BMF的面积比为_________.
在等腰直角三角形中,,,直线过点且与平行.点在直线上(不与点重合),作射线.将射线绕点顺时针旋转,与直线交于点.
()如图,若点在的延长线上,请直接写出线段、之间的数量关系.
()依题意补全图,并证明此时()中的结论仍然成立.
()若,,请直接写出的长.
阅读下列材料:
五个边长为的小正方形如图①放置,要求用两条线段将它们分割成三部分后把它们拼接成一个新的正方形.
小辰是这样思考的:图①中五个边长为的小正方形的面积的和为,拼接后的正方形的面积也应该是,故而拼接后的正方形的边长为,因此想到了依据勾股定理,构造长为的线段,即:,因此想到了两直角边分别为和的直角三角形的斜边正好是,如图②,进而拼接成了一个便长为的正方形.
参考上面的材料和小辰的思考方法,解决问题:
()五个边长为的小正方形如图④放置,类似图③,在图④中画出分割线和拼接后的正方形(只要画出一种即可).
()十个边长为的小正方形如图⑤放置,类似图③,在图⑤中画出两条分割线将它们分割成三部分,并画出拼接后的正方形(只要画出一种即可).
()五个边长为的小正方形如图⑥放置,类似图③,在图⑥中画出两条分割线将它们分割成三部分,并画出拼接后的正方形(只要画出一种即可).