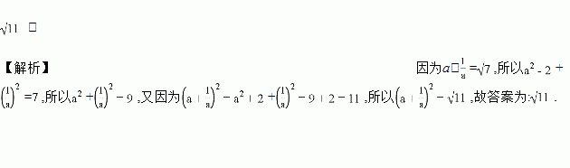
题目内容
已知正实数a,满足a﹣
=
,则a+
=_____.
练习册系列答案
相关题目
(10分)下表是用电脑中Excel(电子表格)制作的学生成绩档案的一部分.中间工作区被分成若干单元格,单元格用它所在列的英文字母和所在行的数字表示.如“余天泽”所在的单元格表示为A2.
(1)C4单元格中的内容是什么?表中“88”所在的单元格怎样表示?
(2)SUM(B2︰B4)表示对单元格B2至B4内的数据求和.那SUM(B3︰D3)表示什么?其结果是多少?
A | B | C | D | … | |
1 | 姓名 | 语文 | 数学 | 英语 | … |
2 | 余天泽 | 99 | 100 | 93 | … |
3 | 陈晨 | 82 | 96 | 88 | … |
4 | 江阳 | 86 | 91 | 82 | … |